Convert : Bromomethane to Propanone
  1. Explanation:
  2. Step 1: Converting bromomethane to methyl magnesium bromide. When bromomethane is reacted with magnesium metal in the presence of anhydrous ether, it results in the formation of methyl magnesium bromide.
  3. Step 2: Converting methyl magnesium bromide to propan-2-ol.
  4. Step 3: Converting propan-2-ol to propanone.

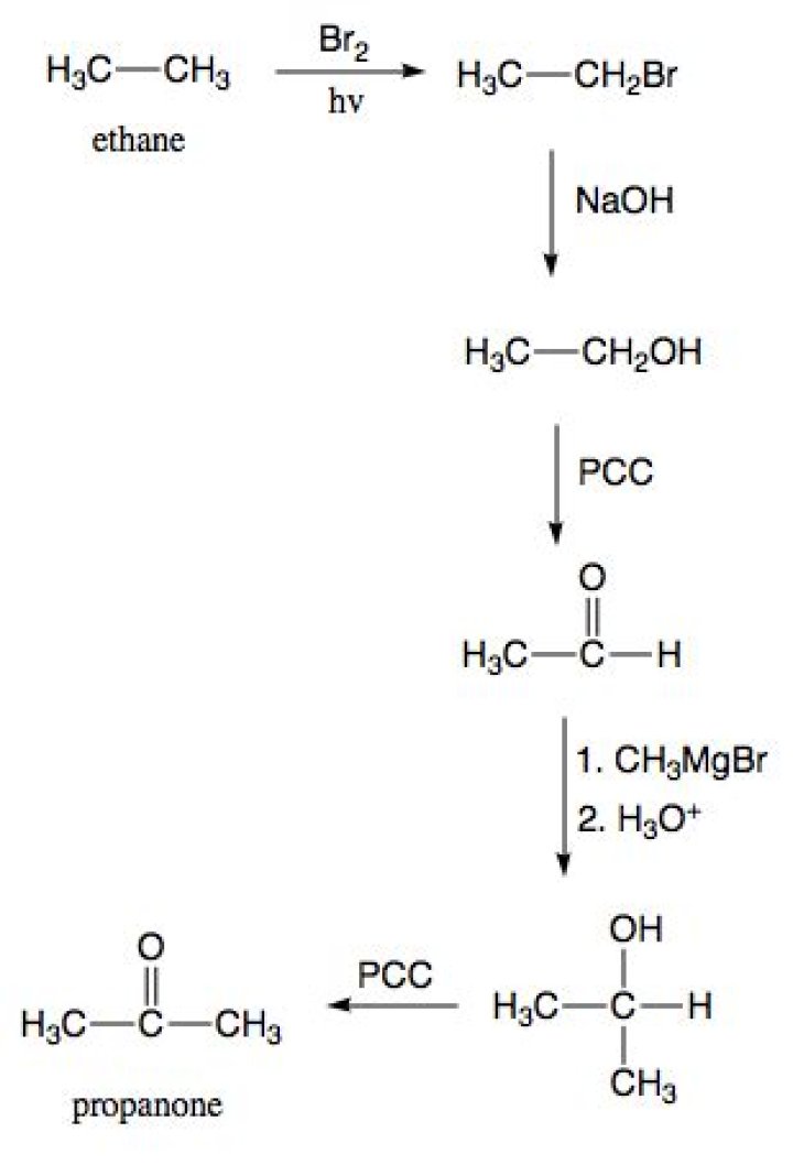
Similarly, it is asked, how is ethane converted to propanone?

The steps needed to convert ethane to propanone are given below. Step 1: Radical bromination of ethane gives bromoethane. Step 2: Substitution reaction between bromoethane and NaOH gives ethanol. Step 3: Partial oxidation of ethanol using the mils oxidizing agent pyridinium chlorochromate (PCC) gives ethanal.

Furthermore, how is ethane converted to Bromoethene? Ethane reacts with bromine to give bromoethane which reacts with KOH(alcoholic) to form ethane. Ethenereacts with HBr in the presence of CCl4 to give 1,2-dibromoethane which reacts with KOH(alcoholic) to give bromo ethane.

Subsequently, one may also ask, how is methyl bromide converted to ethane?

Explanation: methyl bromide is converted to ethane on heating with in ether medium in presence of sodium metal

How is toluene converted to benzoic acid?

When toluene is refluxed with alkaline KMnO4 solution (aqueous KMnO4 + Na2CO3), it is oxidised to benzoic acid. The acid is usually obtained in solution as its salt due to the alkaline nature of the reaction mixture. Benzoic acid is less soluble in cold water.

Related Question Answers

How will you convert Ethanal to propan 2 ol?

ANSWER : To get propan-2-ol from ethanal, we have perform a simple method of treating ethanal with Grignard's Reagent. In this reaction we can clearly see that, ethanal reacts with Grignard's reagent and converts ethanal into propan-2-ol.

How do you convert Ethyne to benzene?

When ethyne gas is passed through the red hot iron tube, it leads to the formation of cyclic aromatic compound. Three molecules of ethyne gas undergo cyclic polymerization to produce an aromatic compound known as benzene.

How do you convert ethane to benzene?

Heat -----> Ethene Ethene + Br2 + CCL4 ---------> BrCH2CH2BR Ethylene Dibromide ------ 2KOH(Alc.) + Heat ----> Ethyne Step 2--> Pass 3 moles of ethyne from red hot iron/copper tube at 778K to get 1 mole of benzene. 3 C2H2 --------->>>> C6H6 Hope it helps. Thumbs up Please.

How will you convert methyl bromide to ethylamine?

Explanation: Methyl Bromide reacts with KCN to give Methyl Cyanide . Reduction of Methyl Cyanide with Sodium and Alchohol gives Ethylamine.

How do you convert phenol to anisole?

How can we convert phenol to anisole?
  1. Mixture of Phenol and Sodium Hydroxide is dissolved in cold-water bath with continuous stirring.
  2. To this mixture (still kept in cold water bath), Dimethyl Sulfate is added and it is kept in water bath for 60 minutes.
  3. Mixture is heated for 30 minutes.

How is methyl bromide prepared from ethane?

Ethane can be prepared by reacting methyl bromide with sodium metal. This is known as Wurtz reaction.

How is methyl iodide converted to ethanamine?

Methyl iodide is first treated with alcoholic KCN to form acetonitrile,which is further reduced by sodium and alcohol to form ethyl amine.

How is ethyl bromide prepared from ethene?

Answer. Ethene is prepared by heating a mixture of ethanol and excess of concentrated sulphuric acid at 180°C. In first step, ethyl hydrogensulphate is formed which decomposes on heating to produce ethene, which is collected over water. On heating ethyl bromide with alcoholic KOH, ethene is formed.

How is ethane converted to Ethyne?

  1. Conversion of ethane to ethyne involves following steps.
  2. Step-1:—Conversion of ethane into ethyl chloride.
  3. When ethane is heated with chlorine,ethyl chloride is obtained.
  4. Step-2:—Dehydrohalogenation of ethyl chloride.
  5. When ethyl chloride is heated with alcoholic KOH,dehydrohalogenation takes place to give ethylene.

How do you prepare ethene from Bromoethane?

  1. Just add alcoholic NaOH to Bromoethane - there will be elimination reaction and you will get ethene.
  2. If you add aqueous NaOH (instead of alcoholic) you will get substitution reaction - i.e Br will be replaced by OH - so be careful here!
  3. Hope it helps!

How do you convert toluene to benzyl alcohol?

Benzyl alcohol is prepared from toluene by heating it with KMnO4 and Na2CO3 in aqu. solution for 1 and half hrs. It is then filtered & neutralized aqueous extracted by HCl to get solid benzoic acid.

How the following conversions can be carried out?

How the following conversions can be carried out? (i) Propene to propan-1-ol (ii) Ethanol to but-1-yne. (iii) 1-Bromopropane to 2-bromopropane (iv) Toluene to benzyl alcohol. (v) Benzene to 4-bromonitrobenzene (vi) Benzyl alcohol to 2-phenylethanoic acid.

How is Bromoethane prepared from ethanol?

Bromoethane is inexpensive and would rarely be prepared in the laboratory. A laboratory synthesis includes reacting ethanol with a mixture of hydrobromic and sulfuric acids. An alternate route involves refluxing ethanol with phosphorus and bromine; phosphorus tribromide is generated in situ. ) , bromoethane is formed .

How do you convert propyne to propene?

Convert propene to propyne. (in steps)
  1. Explanation :
  2. Step 1 : First propene react with bromine in dark in a solvent such as. to produce 1,2-dibromopropane as a product.
  3. Step 2 : When 1,2-dibromopropane react with strong base like alcoholic KOH result in the formation of prop-1-yne.
  4. The reactions are shown below.

How will you bring about the following conversions in not more than two steps?

How will you bring about the following conversions in not more than two steps? (i) Propanone to Propene (ii) Benzoic acid to Benzaldehyde. (iii) Ethanol to 3-Hydroxybutanal (iv) Benzene to m-Nitroacetophenone. (v) Benzaldehyde to Benzophenone (vi) Bromobenzene to 1-Phenylethanol.

How do you convert benzene to biphenyl?

Make Chlorobenzene by reaction of Cl2 + FeCl3 with benzene. The Fittig reaction of Chlorobenzene will lead to Biphenyl as product.

How do you convert aniline to chlorobenzene?

To convert aniline into chlorobenzene, first using NaNO2/HCl, we have to convert aniline into benzene diazonium chloride, which then converts into chlorobenzene in the presence of CuCl. The reaction is known as Sandmeyer reaction.